Self Studies

JEE Advanced Mix Test 68

Result Self Studies

JEE Advanced Mix Test 68
  • Score

    -

    out of -
  • Rank

    -

    out of -
TIME Taken - -
Self Studies
Weekly Quiz Competition
  • Question 1
    4 / -1

    In the circuit shown C1 = 2C2. Switch S is closed at time t = 0. Let i1 & ibe the current flowing through Cand C2 at any time t, then the ratio I1/I2

    Solution

     

  • Question 2
    4 / -1

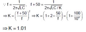
    The capacitor of an oscillatory circuit of frequency 104Hz is enclosed in a container. When the container is evacuated, the frequency changes by 50 Hz, the dielectric constant of the gas is

    Solution

     

  • Question 3
    4 / -1

    A current carrying wire is placed in the grooves of an insulating semicircular disc of radius ‘R’ as shown. The current enters atpoint A and leaves point B. Determine the magnetic field at point D.

    Solution

     

  • Question 4
    4 / -1

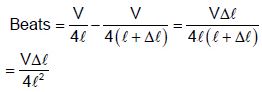
    The organ pipes, both closed at one end, have lengths ℓ and ( ℓ + Δ ℓ) vibrates in fundamental mode. Neglect end correction. If the velocity of sound in air is v, then the number of beats/sec is (assume Δ ℓ << ℓ)

    Solution

     

  • Question 5
    4 / -1

    Solution

     

  • Question 6
    4 / -1

    Which one of the following reaction is not possible:-

    Solution

     

  • Question 7
    4 / -1

    (I) Co(CO)6

    (II) Co(CO)5NH3

    (III) Co(CO)4(NH3)2

    (IV) Co(CO)3(NH3)3

    (V) Co(CO)2(NH3)4

    (VI) Co(CO)(NH3)5

    Which statement is correct for these compounds?

    Solution

    Synergic bonding.

     

  • Question 8
    4 / -1

    Solution

     

  • Question 9
    4 / -1

    Solution

     

  • Question 10
    4 / -1

    If a bag contains five balls. Two balls are drawn and are found to be white. What is the probabilitythat all the balls are white?

    Solution

    Here two balls are drawn and the result is known that the two balls are white, therefore Bayes’s theorem should be used.

    Required probability

     

Self Studies
User
Question Analysis
  • Correct -

  • Wrong -

  • Skipped -

My Perfomance
  • Score

    -

    out of -
  • Rank

    -

    out of -
Re-Attempt Weekly Quiz Competition
Self Studies Get latest Exam Updates
& Study Material Alerts!
No, Thanks
Self Studies
Click on Allow to receive notifications
Allow Notification
Self Studies
Self Studies Self Studies
To enable notifications follow this 2 steps:
  • First Click on Secure Icon Self Studies
  • Second click on the toggle icon
Allow Notification
Get latest Exam Updates & FREE Study Material Alerts!
Self Studies ×
Open Now