Self Studies

Mathematics Test 278

Result Self Studies

Mathematics Test 278
  • Score

    -

    out of -
  • Rank

    -

    out of -
TIME Taken - -
Self Studies

SHARING IS CARING

If our Website helped you a little, then kindly spread our voice using Social Networks. Spread our word to your readers, friends, teachers, students & all those close ones who deserve to know what you know now.

Self Studies Self Studies
Weekly Quiz Competition
  • Question 1
    4 / -1

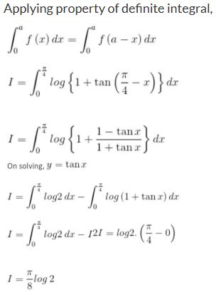
    What is the value of expression after solving limits:

    Solution

     

  • Question 2
    4 / -1

    Solution

     

  • Question 3
    4 / -1

    Solution

     

  • Question 4
    4 / -1

    Solve: limx→0 tan x =

    Solution

     

  • Question 5
    4 / -1

    Solution

     

  • Question 6
    4 / -1

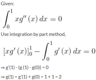
    For a function g(x), g(x) is continuous for all x ∈ R. If g(0) = g'(1) = 1 and  then what is the value of g(1)?

    Solution

     

  • Question 7
    4 / -1

    Solution

     

  • Question 8
    4 / -1

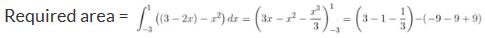
    The area (in sq. units) of the region {(x, y) ∈ R2 : x2 ≤ y ≤ 3 - 2x} is

    Solution

    x= 3 - 2x

    x2 + 2x - 3 = 0

    x = -3, 1

    = 32/3

     

  • Question 9
    4 / -1

    Solution

     

  • Question 10
    4 / -1

    Solution


     

Self Studies
User
Question Analysis
  • Correct -

  • Wrong -

  • Skipped -

My Perfomance
  • Score

    -

    out of -
  • Rank

    -

    out of -
Re-Attempt Weekly Quiz Competition
Self Studies Get latest Exam Updates
& Study Material Alerts!
No, Thanks
Self Studies
Click on Allow to receive notifications
Allow Notification
Self Studies
Self Studies Self Studies
To enable notifications follow this 2 steps:
  • First Click on Secure Icon Self Studies
  • Second click on the toggle icon
Allow Notification
Get latest Exam Updates & FREE Study Material Alerts!
Self Studies ×
Open Now