Self Studies

Mathematics Test - 5

Result Self Studies

Mathematics Test - 5
  • Score

    -

    out of -
  • Rank

    -

    out of -
TIME Taken - -
Self Studies

SHARING IS CARING

If our Website helped you a little, then kindly spread our voice using Social Networks. Spread our word to your readers, friends, teachers, students & all those close ones who deserve to know what you know now.

Self Studies Self Studies
Weekly Quiz Competition
  • Question 1
    1 / -0

    Solution

  • Question 2
    1 / -0

    If sin–1x + sin–1y + sin–1z = π/2 then x+ y2 + z2 + 2xyz is equal to -

    Solution

  • Question 3
    1 / -0

    Solution

  • Question 4
    1 / -0

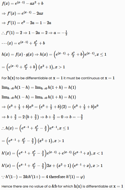
    If a. b. c are three unit vectors such that  and b is not parallel to c. then the angle between a and c is

    Solution

  • Question 5
    1 / -0

    Solution

  • Question 6
    1 / -0

    Solution

  • Question 7
    1 / -0

    Suppose a, b, c are in AP and a2, b2, c2 are in GP. If a < b < c & a + b + c = 3/2, then the value of a is-

    Solution

  • Question 8
    1 / -0

    Solution

  • Question 9
    1 / -0

    Find the middle term in the expansion of

    Solution

  • Question 10
    1 / -0

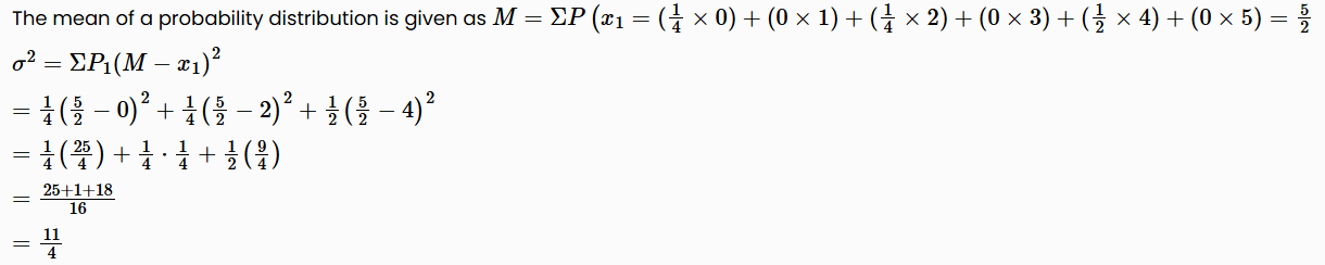
    If ′M′ and σ2 are mean and variance of random variable X, whose distribution is given by -

    then,

    Solution

Self Studies
User
Question Analysis
  • Correct -

  • Wrong -

  • Skipped -

My Perfomance
  • Score

    -

    out of -
  • Rank

    -

    out of -
Re-Attempt Weekly Quiz Competition
Self Studies Get latest Exam Updates
& Study Material Alerts!
No, Thanks
Self Studies
Click on Allow to receive notifications
Allow Notification
Self Studies
Self Studies Self Studies
To enable notifications follow this 2 steps:
  • First Click on Secure Icon Self Studies
  • Second click on the toggle icon
Allow Notification
Get latest Exam Updates & FREE Study Material Alerts!
Self Studies ×
Open Now