Self Studies

Mathematics Test - 8

Result Self Studies

Mathematics Test - 8
  • Score

    -

    out of -
  • Rank

    -

    out of -
TIME Taken - -
Self Studies

SHARING IS CARING

If our Website helped you a little, then kindly spread our voice using Social Networks. Spread our word to your readers, friends, teachers, students & all those close ones who deserve to know what you know now.

Self Studies Self Studies
Weekly Quiz Competition
  • Question 1
    1 / -0

    From a group of 7 men and 6 women, five persons are to be selected to form a committee so that at least 3 men are there on the committee. In how many ways can it be done?

    Solution

    We may have (3 men and 2 women) or (4 men and 1 woman) or ( 5 men only)

    We may have (3 men and 2 women) or (4 men and 1 woman) or ( 5 men only)

  • Question 2
    1 / -0

    Solution

  • Question 3
    1 / -0

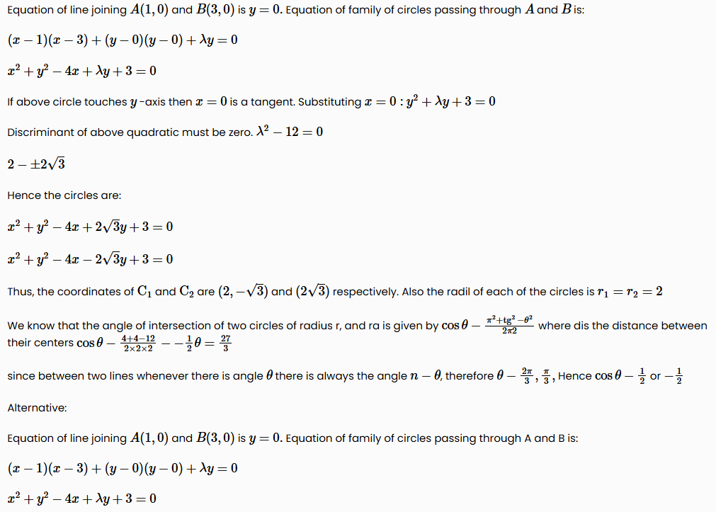
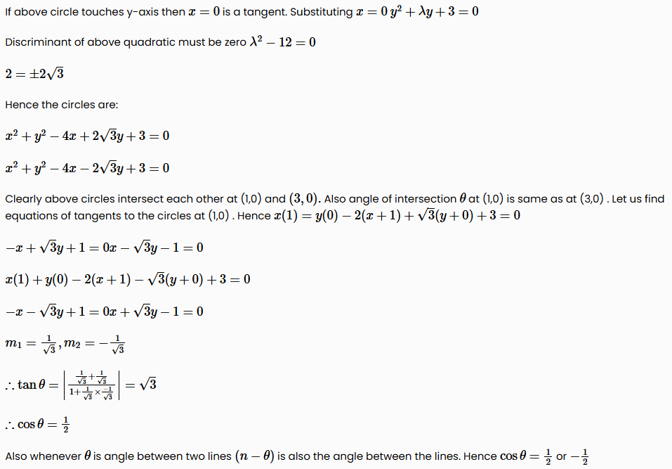
    The circles which can be drawn to pass through (1,0) & (3,0) and touching the y-axis, intersect at an angle θ. The value of cos θ is equal to

    Solution


  • Question 4
    1 / -0

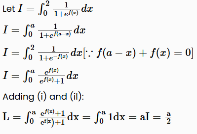
    Let f(x) be a continuous function such that f(a – x) + f(x) = 0 for all x[0,a]. Then, the value of the integral  is equal to

    Solution

  • Question 5
    1 / -0

    Solution

  • Question 6
    1 / -0

    The coefficient of the term independent of x in the expansion of 

    Solution

  • Question 7
    1 / -0

    Which of the following statements is not correct?

    Solution

  • Question 8
    1 / -0

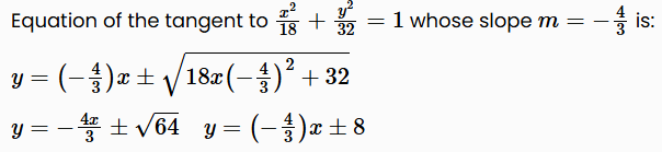
    A tangent having slope of  intersects the major and minor axes in points A and B respectively. If C is the center of the ellipse then the area of the triangle ABC is:

    Solution


    From symmetry of ellipse it is obvious that area of the triangle ABC will be same with respect either tangent. Let us consider

  • Question 9
    1 / -0

    The set of all values of the parameter a for which the points of minimum of the function y = 1 + a2 x – x3

    Solution

  • Question 10
    1 / -0

    The eccentricity of the hyperbola whose latus rectum is half of its transverse axis, is:

    Solution

Self Studies
User
Question Analysis
  • Correct -

  • Wrong -

  • Skipped -

My Perfomance
  • Score

    -

    out of -
  • Rank

    -

    out of -
Re-Attempt Weekly Quiz Competition
Self Studies Get latest Exam Updates
& Study Material Alerts!
No, Thanks
Self Studies
Click on Allow to receive notifications
Allow Notification
Self Studies
Self Studies Self Studies
To enable notifications follow this 2 steps:
  • First Click on Secure Icon Self Studies
  • Second click on the toggle icon
Allow Notification
Get latest Exam Updates & FREE Study Material Alerts!
Self Studies ×
Open Now