Self Studies

Physics Test 196

Result Self Studies

Physics Test 196
  • Score

    -

    out of -
  • Rank

    -

    out of -
TIME Taken - -
Self Studies

SHARING IS CARING

If our Website helped you a little, then kindly spread our voice using Social Networks. Spread our word to your readers, friends, teachers, students & all those close ones who deserve to know what you know now.

Self Studies Self Studies
Weekly Quiz Competition
  • Question 1
    4 / -1

    The angle between the electric lines of force and the equipotential surface is

    Solution

     

  • Question 2
    4 / -1

    Two point charges −q and +q are placed at a distance of L, as shown in the figure.

    The magnitude of electric field intensity at a distance R(R≫L) varies as:

    Solution

    For R≫L, arrangement is an electric dipole

     

  • Question 3
    4 / -1

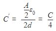
    The distance between the two plates of a parallel plate capacitor is doubled and the area of each plate is halved. If C is its initial capacitance, its final capacitance is equal to:

    Solution

     

  • Question 4
    4 / -1

    Six charges +q, −q, +q, −q, +q and − q are fixed at the corners of a hexagon of side d as shown in the figure. The work done in bringing a charge q0 to the centre of the hexagon from infinity is: (ε0. - permittivity of free space )

    Solution

     

  • Question 5
    4 / -1

    The equivalent capacitance of the combination shown in the figure is

    Solution

  • Question 6
    4 / -1

    Twenty seven drops of same size are charged at 220 V each. They combine to form a bigger drop.

    Calculate the potential of the bigger drop.

    Solution

     

  • Question 7
    4 / -1

    In a certain region of space with volume 0.2 m3, the electric potential is found to be 5V throughout. The magnitude of electric field in this region is:

    Solution

    since, electric potential is constant throughout the volume, hence electric field,

    E = −dV/dr

    = 0

     

  • Question 8
    4 / -1

    The capacitance of a parallel plate capacitor with air as medium is 6µF. With the introduction of a dielectric medium, the capacitance becomes 30µF. The permittivity of the medium is:

    (E0 = 8.85 × 10−12C2N−1m−2)

    Solution

     

  • Question 9
    4 / -1

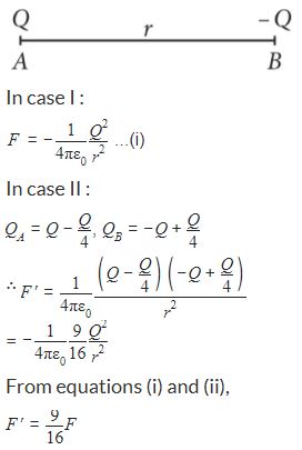
    Two point charges A and B, having charges +Q and −Q respectively, are placed at certain distance apart and force acting between them is F. If 25% charge of A is transferred to B, then force between the charges becomes

    Solution

     

  • Question 10
    4 / -1

    An electron falls from rest through a vertical distance h in a uniform and vertically upward directed electric field E. The direction of electric field is now reversed, keeping its magnitude the same. A proton is allowed to fall from rest in it through the same vertical distance h. The time of fall of the electron, in comparison to the time of fall of the proton is

    Solution

     

Self Studies
User
Question Analysis
  • Correct -

  • Wrong -

  • Skipped -

My Perfomance
  • Score

    -

    out of -
  • Rank

    -

    out of -
Re-Attempt Weekly Quiz Competition
Self Studies Get latest Exam Updates
& Study Material Alerts!
No, Thanks
Self Studies
Click on Allow to receive notifications
Allow Notification
Self Studies
Self Studies Self Studies
To enable notifications follow this 2 steps:
  • First Click on Secure Icon Self Studies
  • Second click on the toggle icon
Allow Notification
Get latest Exam Updates & FREE Study Material Alerts!
Self Studies ×
Open Now